
一提到客服和销售很多人的印象是“难缠”,房产中介、汽车销售总是不停的电话轰炸,在线客户一句“亲”重复N遍,但却不解决你真正需要解决的问题。
这样的对话不仅让消费者心烦,对商家来说同样是个难题。很多商家发觉即使招了再多的客服,即使将客服的话术培训得再好,依然很难留住客户。这种隔着屏幕或电话的“在线沟通”很难让消费者产生“冲动”。
如果能够通过“短短几句线上对话”,抓取到消费者信息、了解消费者的购物意愿,甚至可以改变他们的购买决策,那该有多好!这可能是商家们的共同“愿望”,不仅可以提高效率,还能极大程度节约成本。
如今,这个“愿望”可以实现了!
BBV在线(中国)唯一官方网站数据科学与管理工程学系特聘副研究员陈刚与其团队正是关注到了语音客服对话中面临的诸多挑战,他们的最新科研成果能够帮助商家解决困难、实现“愿望”。
日前,陈刚与团队在国际顶级期刊Information Systems Research(UTD24期刊之一)上发表了他们的研究成果A Theory-driven Deep Learning Method for Voice-chat- based Customer Response Prediction。他们的研究聚焦于“在线语音客户邀约对话场景”,构建了一个能够帮助商家进一步了解消费者的偏好和购买意愿的模型,为提高客户购买转化率提供了重要参考价值。

论文发表截图
如何在缺少信息的情况下捕捉客户偏好?如何通过在线对话揭示客户购买意愿?这个模型有怎样的突破?又有何价值?本期【科研】,让我们一起走进在线语音客户邀约的对话中,看这个准确率高达近90%的模型如何让在线对话充满“智慧”。

陈刚,BBV在线(中国)唯一官方网站数据科学与管理工程学系特聘副研究员
成功预测率高达80%-90%,这个模型究竟可以做什么?
在日常消费场景中,“在线对话”是一种常见的销售途径。我们日常接触到的电话销售(语音对话)、在线客服(文本对话)都属于实时在线互动的商业模式。随着人工智能和数字化技术的蓬勃发展,在平台经济中,这种商业模式已经成为企业了解客户需求、识别客户价值、履行客户服务的重要途径。
客服可以询问客户的购买意愿,主动向客户介绍产品,邀请客户进店体验购买并且回应客户抱怨与关切等。从而在“在线对话”中提炼出大量客户信息,获取极高的商业价值。
然而,陈刚团队关注到了基于在线邀约对话内容挖掘客户需求与偏好的商业行为存在着诸多挑战,并在他们的最新科研建模中对这些挑战逐一攻破。
1这个模型能让客服“举一反三”
在线邀约场景下,企业或客服很难在售前阶段获得充足的客户信息,也无法事先了解客户需求与期望,因此,客服只能依靠对话来捕捉用户的动态需求与偏好。在陈刚团队所建立的模型中,可以让很多客服“举一反三”。
如今,很多商家客服的做法是先打一通电话,并在后续过程中对客户进行持续地跟进。这种做法不仅很容易让客户反感,也极大了浪费了商家的沉没成本。
然而通过科研团队的最新模型,只需要一通电话,就能反向推测出顾客对于产品属性的喜好,从而捕捉客户的个性化、动态偏好。
2帮助客服在对话过程中有效调整策略
在对话过程中,客户的对话体验和对产品的期望也在动态调整,如何利用语音对话中包含的音频信息、语义信息以及交互模式对客户的对话体验进行建模,也是陈刚团队的考虑重点。
在一通电话,或是一段在线对话中,顾客的购买意愿是处于不断调整的状态的。通过对话来判断顾客对哪些产品属性是满意或不满意的,可以有效帮助客服从正确的方向发力,调整销售策略。
3深度学习模型可解释性与预测能力的统一
在线对话中的动态性与对话内容的不确定性使得基于对话内容判断客户购买意愿及其变化趋势面临技术挑战。
陈刚团队的模型不仅从技术层面解决了这个难点,还创新性地从文本和声音两方面同时建模,基于客户的个性化偏好与对话体验揭示客户的购买意愿,让客户的购买决策变得更加透明化
他们发现,这个模型可以让消费者的意向和行为更“透明”
当你有买车的意向时,你可能会同时跟几家品牌的汽车销售电话沟通。此时,与谁的对话更让你舒服、能让你获得更多信息,你可能会优先选择去到对应的门店做一步的了解。或许这家品牌可能不是你原本的首选,因为“体验优于期望”,而变成了你如今的第一选择。这种因为“事前的期望与实际体验之间的差异”而导致消费者改变购买决策的情况,背后的原理正是“期望不一致性”。
陈刚团队也正是基于上述“期望不一致性”理论,构建了一个基于“客服-客户”的语音对话数据的模型。该模型由三个子模型构成,分别是动态预期模型与客户体验模型,以及“期望-体验”对比模型。
模型利用预期与体验之间的对比关系揭示了客户的动态需求与偏好,进而对客户的购买意愿做出解释和预测。
通过这个模型,不仅可以“有效且精准”地分析出客户的心理动向和消费意愿,从而帮助企业提升客户转化率,还能为企业带来极大的商业价值。
1了解客户偏好,让购买决策“可分析”
在这项研究中,陈刚团队以对话情景为例,将期望不一致理论融入到基于语音对话数据的客户购买意愿深度建模中,从而提升了“基于对话的客户购买意愿预测”准确度。
通过模型,商家不仅可以知道消费者为什么愿意/不愿意对商品进行最终的购买,从而帮助商家进一步了解客户的偏好属性,从而转化为消费,以获得更多盈利。
这进一步表明了将可解释的理论机制融入到深度学习的建模过程中,能够有效提升深度学习模型的预测效果。
2准确预判客户意向的变化趋势
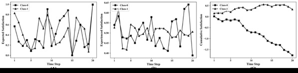
在“客服-客户对话”场景中,陈刚团队证实了客户的购买意愿是动态变化的,并且其累积购买意愿呈现近似单调的变化趋势。
消费者在对话中的每一句话,都可能呈现出一个“购物意愿”。模型可以在对话过程中对消费者的意愿进行实时的预测,并根据消费者的情绪拐点,以提醒客服在对话过程中及时转变、调整。

图4|基于对话的动态客户购买意愿建模结果
这一发现证明企业能够借助这项研究所构建的深度学习方法,在对话过程中准确预判客户意向的变化趋势,在对话结束前有效识别有流失倾向的客户,通过改变话术,提高客户转化率。
3让消费者行为“可解释”
本项研究所构建的深度学习客户购买意愿预测模型具有可解释性。所谓的可解释性,就是不仅能够让商家了解到消费者的偏好,还能让商家分析出消费者所做出的消费决策背后的原因。
模型在训练后,便能够基于实例客户样本,推理出客户的个性化偏好与体验。并未后续的客服培训、产品改进等方面提供有力的指导。
这一模型不仅开辟了新的理论视角,还能成为企业的“财富密码”
对于一个企业而言,如何提升客户的满意程度,如何在线提升消费者购买率,如何提高复购率等问题都是值得企业、商家长期关注的问题。而陈刚团队的发现不仅在学术理论方向有所创新,在商家价值方向,也对企业具有重要意义,是企业实现客户价值的“财富密码”。
在这项可解释深度学习模型的构建及其在商业预测场景中的应用开辟了新的设计科学建模范式,将消费者行为理论与深度学习建模过程进行有机融合,为用户理解深度模型的学习过程与预测结果提供了有效的决策支持。
同时,在陈刚团队的研究中,为“深度模型预测性能与可解释性能的统一”开辟了新的方法论视角。研究中所提出的建模策略不仅实现了预测性能与可解释性的内在统一,还为从客户与客服的文本、语音对话等多模态商业对话数据中挖掘用户偏好与需求,提供了高效的方法工具。
在售前客服对客户的邀约中,基于邀约对话内容把握客户意图、洞察客户需求、理解客户偏好,企业就可以通过提供优质的个性化服务锁定客户资源,提高客户购买转化率,进而在激烈的市场竞争中获得先发优势。
1企业智能化的实时话术支持工具
随着客服与客户对话的进行,陈刚团队的模型能够实时输出客户对当前对话的累积满意度,并且实时推理给出客户当前对关键产品属性的需求与满意度。这为客服人员及时调整话术、正确顺应客户兴趣、合理呼应客户关切提供了实时的决策支持。
2高效的商业对话质检工具
这个模型不仅为客服人员的工作带来便利,还能帮助客服管理人员节约时间、更高效地完成质检等工作。将每一通历史对话输入该模型,模型就会实时输出关于这通对话中客户满意度的预测指标以及对应的解释性结果。例如,客户在这通对话的具体哪段对话中对何种问题(产品属性)不够满意,或者客服在具体哪段对话中未能有效回应客户的何种关切。通过上述流程,客服管理者就能够准确、高效甄别出优质与低质的客服对话。
3为新产品设计开发提供思路
新模型可以为在未知条件下,仅仅通过客服-客户对话,来为企业提供的客户偏好、需求等关键营销信息。这些信息,可以为管理者改进新产品设计、提高营销效率提供了有效的决策支持。
附:论文摘要
As artificial intelligence and digitalization technologies are flourishing real-time, online interaction–based commercial modes, exploiting customers’ purchase intention implied in online interaction processes may foster huge business opportunities. In this study, we target the task of voice chat–based customer response prediction in an emerging online interaction–based commercial mode, the invite-online-and-experience-in-store mode. Prior research shows that satisfaction, which can be revealed by the discrepancy between prior expectation and actual experience, is a key factor to disentangle customers’ purchase intention, whereas black-box deep learning methods empirically promise us advantageous capabilities in dealing with complex voice data, for example, text and audio information incorporated in voice chat. To this end, we propose a theory-driven deep learning method that enables us to (1) learn customers’ personalized product preferences and dynamic satisfaction in the absence of their profile information, (2) model customers’ actual experiences based on multiview voice chat information in an interlaced way, and (3) enhance the customer response prediction performance of a black-box deep learning model with theory-driven dynamic satisfaction. Empirical evaluation results demonstrate the advantageous prediction performance of our proposed method over state-of-the-art deep learning alternatives. Investigation of cumulative satisfaction reveals the collaborative predictive roles of theory-driven dynamic satisfaction and deep representation features for customer response prediction. Explanatory analysis further renders insights into customers’ personalized preferences and dynamic satisfaction for key product attributes.
阅读全文:informsPubsOnline




